printf("ho_tari\n");
ep.42 학습관련기술들 본문
2024.9.4
매개변수 갱신
- optimizer class
- 손실함수 값이 최소가되는 매개변수를 찾음 = 최적화 (optimize )


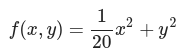
# 그림 6-1 f(x, y) = (1/20) * x**2 + y**2 그래프
# 3차원 참고주소: https://www.datascienceschool.net/view-notebook/6e71dbff254542d9b0a054a7c98b34ec/
%matplotlib inline
import numpy as np
import matplotlib.pyplot as plt
from mpl_toolkits import mplot3d
X = np.arange(-10, 10, 0.5)
Y = np.arange(-10, 10, 0.5)
XX, YY = np.meshgrid(X, Y)
ZZ = (1 / 20) * XX**2 + YY**2
# Creating figures for the plot
fig = plt.figure(figsize = (10, 7))
ax = plt.axes(projection ="3d")
# Creating a plot using the random datasets
ax.scatter3D(XX, YY, ZZ, color = "red")
plt.title("3D scatter plot")
# display the plot
plt.show()

# 그림 6-1 f(x, y) = (1/20) * x**2 + y**2 등고선
plt.contour(XX, YY, ZZ, 100, colors='k')
plt.ylim(-10, 10)
plt.xlim(-10, 10)
def _numerical_gradient_no_batch(f, x):
h = 1e-4 # 0.0001
grad = np.zeros_like(x) # x와 형상이 같은 배열을 생성
for idx in range(x.size):
tmp_val = x[idx]
# f(x+h) 계산
x[idx] = float(tmp_val) + h
fxh1 = f(x)
# f(x-h) 계산
x[idx] = tmp_val - h
fxh2 = f(x)
grad[idx] = (fxh1 - fxh2) / (2*h)
x[idx] = tmp_val # 값 복원
return grad
# 그림 6-2 f(x, y) = (1/20) * x**2 + y**2 의 기울기
# https://github.com/WegraLee/deep-learning-from-scratch/blob/master/ch04/gradient_2d.py 소스 참고
from mpl_toolkits.mplot3d import Axes3D
def numerical_gradient(f, X):
if X.ndim == 1:
return _numerical_gradient_no_batch(f, X)
else:
grad = np.zeros_like(X)
for idx, x in enumerate(X):
grad[idx] = _numerical_gradient_no_batch(f, x)
return grad
def function_2(x):
if x.ndim == 1:
return np.sum(x**2)
else:
return np.sum(x**2, axis=1)
x0 = np.arange(-10, 10, 1)
x1 = np.arange(-10, 10, 1)
X, Y = np.meshgrid(x0, x1)
X = X.flatten()
Y = Y.flatten()
grad = numerical_gradient(function_2, np.array([(1/(20**0.5))*X, Y]) )
plt.figure()
plt.quiver(X, Y, -grad[0], -grad[1], angles="xy",color="#666666")#,headwidth=10,scale=40,color="#444444")
plt.xlim([-10, 10])
plt.ylim([-5, 5])
plt.xlabel('x0')
plt.ylabel('x1')
plt.grid()
plt.legend()
plt.draw()
plt.show()
from collections import OrderedDict
import numpy as np
import matplotlib.pyplot as plt
def f(x, y):
return x**2 / 20.0 + y**2
def df(x, y):
return x / 10.0, 2.0*y
init_pos = (-7.0, 2.0)
params = {}
params['x'], params['y'] = init_pos[0], init_pos[1]
grads = {}
grads['x'], grads['y'] = 0, 0
SGD - 확률적 경사 하강법

단점: 기울기가 달라지는 함수에서는 탐색경로 비효율적 (지그재그)

- 의사 코드
network = TwoLayerNet(...)
optimizer = SGD()
for i in range(10000)
...
x_batch, t_batch = get_mini_batch(...) # 미니배치
grads = network.gradient(x_batch, t_batch)
params = network.params
optimizer.update(params, grads)
...
class SGD:
"""확률적 경사 하강법(Stochastic Gradient Descent)"""
def __init__(self, lr=0.001):
self.lr = lr
#params = 가중치 / grads = 기울기
def update(self, params, grads):
for key in params.keys():
params[key] -= self.lr * grads[key]
#optimizer SGD
optimizer = SGD(lr=0.95)
x_history = []
y_history = []
params['x'], params['y'] = init_pos[0], init_pos[1]
for i in range(30):
x_history.append(params['x'])
y_history.append(params['y'])
grads['x'], grads['y'] = df(params['x'], params['y'])
optimizer.update(params, grads)
x = np.arange(-10, 10, 0.01)
y = np.arange(-5, 5, 0.01)
X, Y = np.meshgrid(x, y)
Z = f(X, Y)
# 외곽선 단순화
mask = Z > 7
Z[mask] = 0
# 그래프 그리기
plt.figure(figsize = (10,3))
plt.plot(x_history, y_history, 'o-', color="black")
plt.contour(X, Y, Z)
plt.ylim(-3, 3)
plt.xlim(-10, 10)
plt.plot(0, 0, '+', color="red")
plt.title("SGD")
plt.xlabel("x")
plt.ylabel("y")
plt.show()
모멘텀
- Momentum
기울기 방향으로 힘을 받아 물체가 가속된다는 물리 법칙을 나타냄

모멘텀에 따라 공이 그릇의 바닥을 구르는 듯한 움직임을 보임



v: 물체의 속도
v는 초기화 때는 아무것도 담지 않고, update가 처음 호출될 때 같은 구조의 데이터를 딕셔너리 변수로 저장
모멘텀의 갱신경로는 공이 그릇 바닥을 구르듯 움직임
SGD에 비해 지그재그 움직임 줄어듬
- 모멘텀의 구현
class Momentum:
"""
모멘텀 SGD
"""
#def __init__(self, lr=0.001, momentum=0.9):
def __init__(self, lr=0.001, momentum=0.7):
self.lr = lr
self.momentum = momentum
self.v = None
# v는 초기화x , update 호출시 매개변수와 같은 구조의 데이터 딕셔너리로 저장
def update(self, params, grads):
if self.v is None: # 처음 한번만 실행됨
self.v = {}
for key, val in params.items(): # key, value 쌍 얻기 [(1,1),(2,2)]
self.v[key] = np.zeros_like(val)
for key in params.keys():
self.v[key] = self.momentum*self.v[key] - self.lr*grads[key]
params[key] += self.v[key]
#optimizer Momentum
optimizer = Momentum(lr=0.08)
x_history = []
y_history = []
params['x'], params['y'] = init_pos[0], init_pos[1]
for i in range(30):
x_history.append(params['x'])
y_history.append(params['y'])
grads['x'], grads['y'] = df(params['x'], params['y'])
optimizer.update(params, grads)
x = np.arange(-10, 10, 0.01)
y = np.arange(-5, 5, 0.01)
X, Y = np.meshgrid(x, y)
Z = f(X, Y)
# 외곽선 단순화
mask = Z > 7
Z[mask] = 0
# 그래프 그리기
plt.figure(figsize = (10,3))
plt.plot(x_history, y_history, 'o-', color="black")
plt.contour(X, Y, Z)
plt.ylim(-3, 3)
plt.xlim(-10, 10)
plt.plot(0, 0, '+', color="red")
plt.title("Momentum")
plt.xlabel("x")
plt.ylabel("y")
plt.show()
Nesterov
- 모멘텀의 방향으로 조금 앞선 곳에서 손실함수의 그라디언트를 구함
- 시간이 지날수록 조금 더 빨리 최솟값에 도달
- Nesterov 수식



# 일단 관성 방향 먼저 움직이고, 움직인 자리에 스텝을 계산하니 더 빠르더라
class Nesterov:
"""Nesterov's Accelerated Gradient (http://arxiv.org/abs/1212.0901)"""
# NAG는 모멘텀에서 한 단계 발전한 방법이다. (http://newsight.tistory.com/224)
def __init__(self, lr=0.01, momentum=0.9):
self.lr = lr
self.momentum = momentum
self.v = None
def update(self, params, grads):
if self.v is None:
self.v = {}
for key, val in params.items():
self.v[key] = np.zeros_like(val)
for key in params.keys():
self.v[key] *= self.momentum
self.v[key] -= self.lr * grads[key]
params[key] += self.momentum * self.momentum * self.v[key]
params[key] -= (1 + self.momentum) * self.lr * grads[key]
#optimizer Nesterov
optimizer = Nesterov(0.1)
x_history = []
y_history = []
params['x'], params['y'] = init_pos[0], init_pos[1]
for i in range(30):
x_history.append(params['x'])
y_history.append(params['y'])
grads['x'], grads['y'] = df(params['x'], params['y'])
optimizer.update(params, grads)
x = np.arange(-10, 10, 0.01)
y = np.arange(-5, 5, 0.01)
X, Y = np.meshgrid(x, y)
Z = f(X, Y)
# 외곽선 단순화
mask = Z > 7
Z[mask] = 0
# 그래프 그리기
plt.figure(figsize = (10,3))
plt.plot(x_history, y_history, 'o-', color="black")
plt.contour(X, Y, Z)
plt.ylim(-3, 3)
plt.xlim(-10, 10)
plt.plot(0, 0, '+')
plt.title("Nesterov")
plt.xlabel("x")
plt.ylabel("y")
plt.show()
RMSProp (Root Mean Square Propagation)
- AdaGrad를 보완하기 위한 방법으로 등장
- 합 대신 지수의 평균값을 활용
- 학습이 안되기 시작하면 학습률이 커져서 잘 되게하고, 학습률이 너무 크면 학습률을 다시 줄임
- RMSProp 수식

class RMSprop:
"""RMSprop"""
def __init__(self, lr=0.01, decay_rate = 0.90):
self.lr = lr
self.decay_rate = decay_rate
self.h = None
def update(self, params, grads):
if self.h is None:
self.h = {}
for key, val in params.items():
self.h[key] = np.zeros_like(val)
for key in params.keys():
self.h[key] *= self.decay_rate
self.h[key] += (1 - self.decay_rate) * grads[key] * grads[key]
params[key] -= self.lr * grads[key] / (np.sqrt(self.h[key]) + 1e-7)
#optimizer RMSprop
optimizer = RMSprop(0.3)
x_history = []
y_history = []
params['x'], params['y'] = init_pos[0], init_pos[1]
for i in range(30):
x_history.append(params['x'])
y_history.append(params['y'])
grads['x'], grads['y'] = df(params['x'], params['y'])
optimizer.update(params, grads)
x = np.arange(-10, 10, 0.01)
y = np.arange(-5, 5, 0.01)
X, Y = np.meshgrid(x, y)
Z = f(X, Y)
# 외곽선 단순화
mask = Z > 7
Z[mask] = 0
# 그래프 그리기
plt.figure(figsize = (10,3))
plt.plot(x_history, y_history, 'o-', color="black")
plt.contour(X, Y, Z)
plt.ylim(-3, 3)
plt.xlim(-10, 10)
plt.plot(0, 0, '+')
plt.title("RMSprop")
plt.xlabel("x")
plt.ylabel("y")
plt.show()
AdaGrad
신경망 학습시 중요한 학습률을 점차 줄여감 : 각각의 매개변수에 맞게 학습률 조정


#============PASS=============
class AdaGrad:
"""AdaGrad"""
def __init__(self, lr=0.01):
self.lr = lr
self.h = None
def update(self, params, grads):
if self.h is None:
self.h = {}
for key, val in params.items():
self.h[key] = np.zeros_like(val)
for key in params.keys():
self.h[key] += grads[key] * grads[key]
params[key] -= self.lr * grads[key] / (np.sqrt(self.h[key]) + 1e-7)
# 1e-7 은 0으로 나누지 않게하는 값
#optimizer AdaGrad
optimizer = AdaGrad(lr=1.5)
x_history = []
y_history = []
params['x'], params['y'] = init_pos[0], init_pos[1]
for i in range(30):
x_history.append(params['x'])
y_history.append(params['y'])
grads['x'], grads['y'] = df(params['x'], params['y'])
optimizer.update(params, grads)
x = np.arange(-10, 10, 0.01)
y = np.arange(-5, 5, 0.01)
X, Y = np.meshgrid(x, y)
Z = f(X, Y)
# 외곽선 단순화
mask = Z > 7
Z[mask] = 0
# 그래프 그리기
plt.figure(figsize = (10,3))
plt.plot(x_history, y_history, 'o-', color="black")
plt.contour(X, Y, Z)
plt.ylim(-3, 3)
plt.xlim(-10, 10)
plt.plot(0, 0, '+')
plt.title("AdaGrad")
plt.xlabel("x")
plt.ylabel("y")
plt.show()
Adam = AdaGrad + Momentum
매개변수 효율적 탐색 + 하이퍼파라미터 값 편향 보정

class Adam:
"""Adam (http://arxiv.org/abs/1412.6980v8)"""
def __init__(self, lr=0.01, beta1=0.9, beta2=0.999):
self.lr = lr
self.beta1 = beta1
self.beta2 = beta2
self.iter = 0
self.m = None
self.v = None
def update(self, params, grads):
if self.m is None:
self.m, self.v = {}, {}
for key, val in params.items():
self.m[key] = np.zeros_like(val)
self.v[key] = np.zeros_like(val)
self.iter += 1
lr_t = self.lr * np.sqrt(1.0 - self.beta2**self.iter) / (1.0 - self.beta1**self.iter)
for key in params.keys():
#self.m[key] = self.beta1*self.m[key] + (1-self.beta1)*grads[key]
#self.v[key] = self.beta2*self.v[key] + (1-self.beta2)*(grads[key]**2)
self.m[key] += (1 - self.beta1) * (grads[key] - self.m[key])
self.v[key] += (1 - self.beta2) * (grads[key]**2 - self.v[key])
params[key] -= lr_t * self.m[key] / (np.sqrt(self.v[key]) + 1e-7)
#unbias_m += (1 - self.beta1) * (grads[key] - self.m[key]) # correct bias
#unbisa_b += (1 - self.beta2) * (grads[key]*grads[key] - self.v[key]) # correct bias
#params[key] += self.lr * unbias_m / (np.sqrt(unbisa_b) + 1e-7)
#optimizer Adam
optimizer = Adam(lr=0.3)
x_history = []
y_history = []
params['x'], params['y'] = init_pos[0], init_pos[1]
for i in range(30):
x_history.append(params['x'])
y_history.append(params['y'])
grads['x'], grads['y'] = df(params['x'], params['y'])
optimizer.update(params, grads)
x = np.arange(-10, 10, 0.01)
y = np.arange(-5, 5, 0.01)
X, Y = np.meshgrid(x, y)
Z = f(X, Y)
# 외곽선 단순화
mask = Z > 7
Z[mask] = 0
# 그래프 그리기
plt.figure(figsize = (10,3))
plt.plot(x_history, y_history, 'o-', color="black")
plt.contour(X, Y, Z)
plt.ylim(-3, 3)
plt.xlim(-10, 10)
plt.plot(0, 0, '+')
plt.title("Adam")
plt.xlabel("x")
plt.ylabel("y")
plt.show()
4가지 optimizer 비교(5가지)
from collections import OrderedDict
import numpy as np
import matplotlib.pyplot as plt
def f(x, y):
return x**2 / 20.0 + y**2
def df(x, y):
return x / 10.0, 2.0*y
init_pos = (-7.0, 2.0)
params = {}
params['x'], params['y'] = init_pos[0], init_pos[1]
grads = {}
grads['x'], grads['y'] = 0, 0
#각 optimizer
optimizers = OrderedDict()
optimizers["SGD"] = SGD(lr=0.95)
optimizers["Momentum"] = Momentum(lr=0.1)
optimizers["AdaGrad"] = AdaGrad(lr=1.5)
optimizers["Adam"] = Adam(lr=0.3)
idx = 1
for key in optimizers: # SGD Momentum AdaGrad Adam 순으로 나온다.
optimizer = optimizers[key]
x_history = []
y_history = []
params['x'], params['y'] = init_pos[0], init_pos[1]
for i in range(30):
x_history.append(params['x'])
y_history.append(params['y'])
grads['x'], grads['y'] = df(params['x'], params['y'])
optimizer.update(params, grads)
x = np.arange(-10, 10, 0.01)
y = np.arange(-10, 10, 0.01)
X, Y = np.meshgrid(x, y)
Z = f(X, Y)
# 외곽선 단순화
mask = Z > 7
Z[mask] = 0
# 그래프 그리기
#plt.figure(figsize = (10,10))
plt.subplot(2, 2, idx)
idx += 1
plt.plot(x_history, y_history, 'o-', color="black")
plt.contour(X, Y, Z)
plt.ylim(-10, 10)
plt.xlim(-10, 10)
plt.plot(0, 0, '+', color="red")
#colorbar()
#spring()
plt.title(key, fontsize=10)
plt.xlabel("x")
plt.ylabel("y")
plt.show()
MNIST 데이터셋으로 본 갱신 방법 비교
- 손글씨 숫자 인식을 대상으로 네가지 기법 비교
- 각 층이 100개의 뉴런으로 구성된 5층 신경망에서 ReLU를 활성화 함수로 사용해 측정
- SGD의 학습 진도가 가능 느림
- 나머지 세 기법의 진도는 비슷
- AdaGrad가 조금 빠름 것 같음
- 하이퍼 파라미터인 학습률과 신경망의 구조(층 깊이 등)에 따라 결과가 달라짐
- 일반적으로 SGD보다 세 기법이 빠르게 학습하고 최종 정확도도 높게 나타남
import numpy as np
import matplotlib.pyplot as plt
from collections import OrderedDict
import tensorflow as tf
layers
def sigmoid(x):
return 1 / (1 + np.exp(-x))
def softmax(x):
if x.ndim == 2:
x = x.T
x = x - np.max(x, axis=0)
y = np.exp(x) / np.sum(np.exp(x), axis=0)
return y.T
x = x - np.max(x) # 오버플로 대책
return np.exp(x) / np.sum(np.exp(x))
def cross_entropy_error(y, t):
if y.ndim == 1:
t = t.reshape(1, t.size)
y = y.reshape(1, y.size)
# 훈련 데이터가 원-핫 벡터라면 정답 레이블의 인덱스로 반환
if t.size == y.size:
t = t.argmax(axis=1)
batch_size = y.shape[0]
return -np.sum(np.log(y[np.arange(batch_size), t] + 1e-7)) / batch_size
class Relu:
def __init__(self):
self.mask = None
def forward(self, x):
self.mask = (x <= 0)
out = x.copy()
out[self.mask] = 0
return out
def backward(self, dout):
dout[self.mask] = 0
dx = dout
return dx
class Sigmoid:
def __init__(self):
self.out = None
def forward(self, x):
out = sigmoid(x)
self.out = out
return out
def backward(self, dout):
dx = dout * (1.0 - self.out) * self.out
return dx
class Affine:
def __init__(self, W, b):
self.W = W
self.b = b
self.x = None
self.original_x_shape = None
# 가중치와 편향 매개변수의 미분
self.dW = None
self.db = None
def forward(self, x):
# 텐서 대응
self.original_x_shape = x.shape
x = x.reshape(x.shape[0], -1)
self.x = x
out = np.dot(self.x, self.W) + self.b
return out
def backward(self, dout):
dx = np.dot(dout, self.W.T)
self.dW = np.dot(self.x.T, dout)
self.db = np.sum(dout, axis=0)
dx = dx.reshape(*self.original_x_shape) # 입력 데이터 모양 변경(텐서 대응)
return dx
class SoftmaxWithLoss:
def __init__(self):
self.loss = None # 손실함수
self.y = None # softmax의 출력
self.t = None # 정답 레이블(원-핫 인코딩 형태)
def forward(self, x, t):
self.t = t
self.y = softmax(x)
self.loss = cross_entropy_error(self.y, self.t)
return self.loss
def backward(self, dout=1):
batch_size = self.t.shape[0]
if self.t.size == self.y.size: # 정답 레이블이 원-핫 인코딩 형태일 때
dx = (self.y - self.t) / batch_size
else:
dx = self.y.copy()
dx[np.arange(batch_size), self.t] -= 1
dx = dx / batch_size
return dx
class Dropout:
"""
http://arxiv.org/abs/1207.0580
"""
def __init__(self, dropout_ratio=0.5):
self.dropout_ratio = dropout_ratio
self.mask = None
def forward(self, x, train_flg=True):
if train_flg:
self.mask = np.random.rand(*x.shape) > self.dropout_ratio
return x * self.mask
else:
return x * (1.0 - self.dropout_ratio)
def backward(self, dout):
return dout * self.mask
class BatchNormalization:
"""
http://arxiv.org/abs/1502.03167
"""
def __init__(self, gamma, beta, momentum=0.9, running_mean=None, running_var=None):
self.gamma = gamma
self.beta = beta
self.momentum = momentum
self.input_shape = None # 합성곱 계층은 4차원, 완전연결 계층은 2차원
# 시험할 때 사용할 평균과 분산
self.running_mean = running_mean
self.running_var = running_var
# backward 시에 사용할 중간 데이터
self.batch_size = None
self.xc = None
self.std = None
self.dgamma = None
self.dbeta = None
def forward(self, x, train_flg=True):
self.input_shape = x.shape
if x.ndim != 2:
N, C, H, W = x.shape
x = x.reshape(N, -1)
out = self.__forward(x, train_flg)
return out.reshape(*self.input_shape)
def __forward(self, x, train_flg):
if self.running_mean is None:
N, D = x.shape
self.running_mean = np.zeros(D)
self.running_var = np.zeros(D)
if train_flg:
mu = x.mean(axis=0)
xc = x - mu
var = np.mean(xc**2, axis=0)
std = np.sqrt(var + 10e-7)
xn = xc / std
self.batch_size = x.shape[0]
self.xc = xc
self.xn = xn
self.std = std
self.running_mean = self.momentum * self.running_mean + (1-self.momentum) * mu
self.running_var = self.momentum * self.running_var + (1-self.momentum) * var
else:
xc = x - self.running_mean
xn = xc / ((np.sqrt(self.running_var + 10e-7)))
out = self.gamma * xn + self.beta
return out
def backward(self, dout):
if dout.ndim != 2:
N, C, H, W = dout.shape
dout = dout.reshape(N, -1)
dx = self.__backward(dout)
dx = dx.reshape(*self.input_shape)
return dx
def __backward(self, dout):
dbeta = dout.sum(axis=0)
dgamma = np.sum(self.xn * dout, axis=0)
dxn = self.gamma * dout
dxc = dxn / self.std
dstd = -np.sum((dxn * self.xc) / (self.std * self.std), axis=0)
dvar = 0.5 * dstd / self.std
dxc += (2.0 / self.batch_size) * self.xc * dvar
dmu = np.sum(dxc, axis=0)
dx = dxc - dmu / self.batch_size
self.dgamma = dgamma
self.dbeta = dbeta
return dx
Multi_layer_net
class MultiLayerNet:
"""완전연결 다층 신경망
Parameters
----------
input_size : 입력 크기(MNIST의 경우엔 784)
hidden_size_list : 각 은닉층의 뉴런 수를 담은 리스트(e.g. [100, 100, 100])
output_size : 출력 크기(MNIST의 경우엔 10)
activation : 활성화 함수 - 'relu' 혹은 'sigmoid'
weight_init_std : 가중치의 표준편차 지정(e.g. 0.01)
'relu'나 'he'로 지정하면 'He 초깃값'으로 설정
'sigmoid'나 'xavier'로 지정하면 'Xavier 초깃값'으로 설정
weight_decay_lambda : 가중치 감소(L2 법칙)의 세기
"""
def __init__(self, input_size, hidden_size_list, output_size,
activation='relu', weight_init_std='relu', weight_decay_lambda=0):
self.input_size = input_size
self.output_size = output_size
self.hidden_size_list = hidden_size_list
self.hidden_layer_num = len(hidden_size_list)
self.weight_decay_lambda = weight_decay_lambda
self.params = {}
# 가중치 초기화
self.__init_weight(weight_init_std)
# 계층 생성
activation_layer = {'sigmoid': Sigmoid, 'relu': Relu}
self.layers = OrderedDict()
for idx in range(1, self.hidden_layer_num+1):
self.layers['Affine' + str(idx)] = Affine(self.params['W' + str(idx)],
self.params['b' + str(idx)])
self.layers['Activation_function' + str(idx)] = activation_layer[activation]()
idx = self.hidden_layer_num + 1
self.layers['Affine' + str(idx)] = Affine(self.params['W' + str(idx)],
self.params['b' + str(idx)])
self.last_layer = SoftmaxWithLoss()
def __init_weight(self, weight_init_std):
"""가중치 초기화
Parameters
----------
weight_init_std : 가중치의 표준편차 지정(e.g. 0.01)
'relu'나 'he'로 지정하면 'He 초깃값'으로 설정
'sigmoid'나 'xavier'로 지정하면 'Xavier 초깃값'으로 설정
"""
all_size_list = [self.input_size] + self.hidden_size_list + [self.output_size]
for idx in range(1, len(all_size_list)):
scale = weight_init_std
if str(weight_init_std).lower() in ('relu', 'he'):
scale = np.sqrt(2.0 / all_size_list[idx - 1]) # ReLU를 사용할 때의 권장 초깃값
elif str(weight_init_std).lower() in ('sigmoid', 'xavier'):
scale = np.sqrt(1.0 / all_size_list[idx - 1]) # sigmoid를 사용할 때의 권장 초깃값
self.params['W' + str(idx)] = scale * np.random.randn(all_size_list[idx-1], all_size_list[idx])
self.params['b' + str(idx)] = np.zeros(all_size_list[idx])
def predict(self, x):
for layer in self.layers.values():
x = layer.forward(x)
return x
# ========= 가중치 감소 =============
def loss(self, x, t):
"""손실 함수를 구한다.
Parameters
----------
x : 입력 데이터
t : 정답 레이블
Returns
-------
손실 함수의 값
"""
y = self.predict(x)
weight_decay = 0
for idx in range(1, self.hidden_layer_num + 2):
W = self.params['W' + str(idx)]
weight_decay += 0.5 * self.weight_decay_lambda * np.sum(W ** 2)
return self.last_layer.forward(y, t) + weight_decay
def accuracy(self, x, t):
y = self.predict(x)
y = np.argmax(y, axis=1)
if t.ndim != 1 : t = np.argmax(t, axis=1)
accuracy = np.sum(y == t) / float(x.shape[0])
return accuracy
def numerical_gradient(self, x, t):
"""기울기를 구한다(수치 미분).
Parameters
----------
x : 입력 데이터
t : 정답 레이블
Returns
-------
각 층의 기울기를 담은 딕셔너리(dictionary) 변수
grads['W1']、grads['W2']、... 각 층의 가중치
grads['b1']、grads['b2']、... 각 층의 편향
"""
loss_W = lambda W: self.loss(x, t)
grads = {}
for idx in range(1, self.hidden_layer_num+2):
grads['W' + str(idx)] = numerical_gradient(loss_W, self.params['W' + str(idx)])
grads['b' + str(idx)] = numerical_gradient(loss_W, self.params['b' + str(idx)])
return grads
def gradient(self, x, t):
"""기울기를 구한다(오차역전파법).
Parameters
----------
x : 입력 데이터
t : 정답 레이블
Returns
-------
각 층의 기울기를 담은 딕셔너리(dictionary) 변수
grads['W1']、grads['W2']、... 각 층의 가중치
grads['b1']、grads['b2']、... 각 층의 편향
"""
# forward
self.loss(x, t)
# backward
dout = 1
dout = self.last_layer.backward(dout)
layers = list(self.layers.values())
layers.reverse()
for layer in layers:
dout = layer.backward(dout)
# 결과 저장
grads = {}
for idx in range(1, self.hidden_layer_num+2):
grads['W' + str(idx)] = self.layers['Affine' + str(idx)].dW + self.weight_decay_lambda * self.layers['Affine' + str(idx)].W
grads['b' + str(idx)] = self.layers['Affine' + str(idx)].db
return grads
multi_layer_net_extend
class MultiLayerNetExtend:
"""완전 연결 다층 신경망(확장판)
가중치 감소, 드롭아웃, 배치 정규화 구현
Parameters
----------
input_size : 입력 크기(MNIST의 경우엔 784)
hidden_size_list : 각 은닉층의 뉴런 수를 담은 리스트(e.g. [100, 100, 100])
output_size : 출력 크기(MNIST의 경우엔 10)
activation : 활성화 함수 - 'relu' 혹은 'sigmoid'
weight_init_std : 가중치의 표준편차 지정(e.g. 0.01)
'relu'나 'he'로 지정하면 'He 초깃값'으로 설정
'sigmoid'나 'xavier'로 지정하면 'Xavier 초깃값'으로 설정
weight_decay_lambda : 가중치 감소(L2 법칙)의 세기
use_dropout : 드롭아웃 사용 여부
dropout_ration : 드롭아웃 비율
use_batchNorm : 배치 정규화 사용 여부
"""
def __init__(self, input_size, hidden_size_list, output_size,
activation='relu', weight_init_std='relu', weight_decay_lambda=0,
use_dropout = False, dropout_ration = 0.5, use_batchnorm=False):
self.input_size = input_size
self.output_size = output_size
self.hidden_size_list = hidden_size_list
self.hidden_layer_num = len(hidden_size_list)
self.use_dropout = use_dropout
self.weight_decay_lambda = weight_decay_lambda
self.use_batchnorm = use_batchnorm
self.params = {}
# 가중치 초기화
self.__init_weight(weight_init_std)
# 계층 생성
activation_layer = {'sigmoid': Sigmoid, 'relu': Relu}
self.layers = OrderedDict()
for idx in range(1, self.hidden_layer_num+1):
self.layers['Affine' + str(idx)] = Affine(self.params['W' + str(idx)],
self.params['b' + str(idx)])
if self.use_batchnorm:
self.params['gamma' + str(idx)] = np.ones(hidden_size_list[idx-1])
self.params['beta' + str(idx)] = np.zeros(hidden_size_list[idx-1])
self.layers['BatchNorm' + str(idx)] = BatchNormalization(self.params['gamma' + str(idx)], self.params['beta' + str(idx)])
self.layers['Activation_function' + str(idx)] = activation_layer[activation]()
if self.use_dropout:
self.layers['Dropout' + str(idx)] = Dropout(dropout_ration)
idx = self.hidden_layer_num + 1
self.layers['Affine' + str(idx)] = Affine(self.params['W' + str(idx)], self.params['b' + str(idx)])
self.last_layer = SoftmaxWithLoss()
def __init_weight(self, weight_init_std):
"""가중치 초기화
Parameters
----------
weight_init_std : 가중치의 표준편차 지정(e.g. 0.01)
'relu'나 'he'로 지정하면 'He 초깃값'으로 설정
'sigmoid'나 'xavier'로 지정하면 'Xavier 초깃값'으로 설정
"""
all_size_list = [self.input_size] + self.hidden_size_list + [self.output_size]
for idx in range(1, len(all_size_list)):
scale = weight_init_std
if str(weight_init_std).lower() in ('relu', 'he'):
scale = np.sqrt(2.0 / all_size_list[idx - 1]) # ReLU
elif str(weight_init_std).lower() in ('sigmoid', 'xavier'):
scale = np.sqrt(1.0 / all_size_list[idx - 1]) # sigmoid
self.params['W' + str(idx)] = scale * np.random.randn(all_size_list[idx-1], all_size_list[idx])
self.params['b' + str(idx)] = np.zeros(all_size_list[idx])
def predict(self, x, train_flg=False):
for key, layer in self.layers.items():
if "Dropout" in key or "BatchNorm" in key:
x = layer.forward(x, train_flg)
else:
x = layer.forward(x)
return x
def loss(self, x, t, train_flg=False):
"""손실 함수를 구한다.
Parameters
----------
x : 입력 데이터
t : 정답 레이블
"""
y = self.predict(x, train_flg)
weight_decay = 0
for idx in range(1, self.hidden_layer_num + 2):
W = self.params['W' + str(idx)]
weight_decay += 0.5 * self.weight_decay_lambda * np.sum(W**2)
return self.last_layer.forward(y, t) + weight_decay
def accuracy(self, X, T):
Y = self.predict(X, train_flg=False)
Y = np.argmax(Y, axis=1)
if T.ndim != 1 : T = np.argmax(T, axis=1)
accuracy = np.sum(Y == T) / float(X.shape[0])
return accuracy
####### 배치정규화 #############
def numerical_gradient(self, X, T):
"""기울기를 구한다(수치 미분).
Parameters
----------
x : 입력 데이터
t : 정답 레이블
Returns
-------
각 층의 기울기를 담은 사전(dictionary) 변수
grads['W1']、grads['W2']、... 각 층의 가중치
grads['b1']、grads['b2']、... 각 층의 편향
"""
loss_W = lambda W: self.loss(X, T, train_flg=True)
grads = {}
for idx in range(1, self.hidden_layer_num+2):
grads['W' + str(idx)] = numerical_gradient(loss_W, self.params['W' + str(idx)])
grads['b' + str(idx)] = numerical_gradient(loss_W, self.params['b' + str(idx)])
if self.use_batchnorm and idx != self.hidden_layer_num+1:
grads['gamma' + str(idx)] = numerical_gradient(loss_W, self.params['gamma' + str(idx)])
grads['beta' + str(idx)] = numerical_gradient(loss_W, self.params['beta' + str(idx)])
return grads
def gradient(self, x, t):
# forward
self.loss(x, t, train_flg=True)
# backward
dout = 1
dout = self.last_layer.backward(dout)
layers = list(self.layers.values())
layers.reverse()
for layer in layers:
dout = layer.backward(dout)
# 결과 저장
grads = {}
for idx in range(1, self.hidden_layer_num+2):
grads['W' + str(idx)] = self.layers['Affine' + str(idx)].dW + self.weight_decay_lambda * self.params['W' + str(idx)]
grads['b' + str(idx)] = self.layers['Affine' + str(idx)].db
if self.use_batchnorm and idx != self.hidden_layer_num+1:
grads['gamma' + str(idx)] = self.layers['BatchNorm' + str(idx)].dgamma
grads['beta' + str(idx)] = self.layers['BatchNorm' + str(idx)].dbeta
return grads
trainer
class Trainer:
"""
신경망 훈련을 대신 해주는 클래스
"""
def __init__(self, network, x_train, t_train, x_test, t_test,
epochs=20, mini_batch_size=100,
optimizer='SGD', optimizer_param={'lr':0.01},
evaluate_sample_num_per_epoch=None, verbose=True):
self.network = network
self.verbose = verbose
self.x_train = x_train
self.t_train = t_train
self.x_test = x_test
self.t_test = t_test
self.epochs = epochs
self.batch_size = mini_batch_size
self.evaluate_sample_num_per_epoch = evaluate_sample_num_per_epoch
# optimzer
optimizer_class_dict = {'sgd':SGD, 'momentum':Momentum, 'nesterov':Nesterov,
'adagrad':AdaGrad, 'rmsprpo':RMSprop, 'adam':Adam}
self.optimizer = optimizer_class_dict[optimizer.lower()](**optimizer_param)
self.train_size = x_train.shape[0]
self.iter_per_epoch = max(self.train_size / mini_batch_size, 1)
self.max_iter = int(epochs * self.iter_per_epoch)
self.current_iter = 0
self.current_epoch = 0
self.train_loss_list = []
self.train_acc_list = []
self.test_acc_list = []
def train_step(self):
batch_mask = np.random.choice(self.train_size, self.batch_size)
x_batch = self.x_train[batch_mask]
t_batch = self.t_train[batch_mask]
grads = self.network.gradient(x_batch, t_batch)
self.optimizer.update(self.network.params, grads)
loss = self.network.loss(x_batch, t_batch)
self.train_loss_list.append(loss)
if self.verbose: print("train loss:" + str(loss))
if self.current_iter % self.iter_per_epoch == 0:
self.current_epoch += 1
x_train_sample, t_train_sample = self.x_train, self.t_train
x_test_sample, t_test_sample = self.x_test, self.t_test
if not self.evaluate_sample_num_per_epoch is None:
t = self.evaluate_sample_num_per_epoch
x_train_sample, t_train_sample = self.x_train[:t], self.t_train[:t]
x_test_sample, t_test_sample = self.x_test[:t], self.t_test[:t]
train_acc = self.network.accuracy(x_train_sample, t_train_sample)
test_acc = self.network.accuracy(x_test_sample, t_test_sample)
self.train_acc_list.append(train_acc)
self.test_acc_list.append(test_acc)
if self.verbose: print("=== epoch:" + str(self.current_epoch) + ", train acc:" + str(train_acc) + ", test acc:" + str(test_acc) + " ===")
self.current_iter += 1
def train(self):
for i in range(self.max_iter):
self.train_step()
test_acc = self.network.accuracy(self.x_test, self.t_test)
if self.verbose:
print("=============== Final Test Accuracy ===============")
print("test acc:" + str(test_acc))
optimizer MNIST로 비교
def smooth_curve(x):
"""손실 함수의 그래프를 매끄럽게 하기 위해 사용
참고:http://glowingpython.blogspot.jp/2012/02/convolution-with-numpy.html
"""
window_len = 11
s = np.r_[x[window_len-1:0:-1], x, x[-1:-window_len:-1]]
w = np.kaiser(window_len, 2)
y = np.convolve(w/w.sum(), s, mode='valid')
return y[5:len(y)-5]
import tensorflow as tf
(x_train,t_train),(x_test,t_test) = tf.keras.datasets.mnist.load_data()
#x_train = x_train.reshape(60000,-1) #flatten (60000,28,28) - > (60000,784)
#x_test = x_test.reshape(10000,-1)
x_test = x_test.reshape(10000,-1)
x_test = x_test.astype('float32') / 255. #normalize 데이터를 0과 1사이로
train_size = x_train.shape[0]
batch_size = 128
#max_iterations = 2000
max_iterations = 5000
# 1. 실험용 설정==========
optimizers = {}
optimizers['SGD'] = SGD()
optimizers['Momentum'] = Momentum()
optimizers['AdaGrad'] = AdaGrad()
optimizers['Adam'] = Adam()
#optimizers['RMSprop'] = RMSprop()
networks = {}
train_loss = {}
for key in optimizers.keys():
networks[key] = MultiLayerNet(
input_size=784, hidden_size_list=[100, 100, 100, 100],
output_size=10)
train_loss[key] = []
# 2. 훈련 시작==========
for i in range(max_iterations):
batch_mask = np.random.choice(train_size, batch_size)
x_batch = x_train[batch_mask]
t_batch = t_train[batch_mask]
for key in optimizers.keys():
grads = networks[key].gradient(x_batch, t_batch)
optimizers[key].update(networks[key].params, grads)
loss = networks[key].loss(x_batch, t_batch)
train_loss[key].append(loss)
if i % 100 == 0:
print( "===========" + "iteration : " + str(i) + "===========")
for key in optimizers.keys():
loss = networks[key].loss(x_batch, t_batch)
print(key + ": " + str(loss))
# 3. 그래프 그리기==========
markers = {"SGD": "o", "Momentum": "x", "AdaGrad": "s", "Adam": "D"}
x = np.arange(max_iterations)
for key in optimizers.keys():
plt.plot(x, smooth_curve(train_loss[key]), marker=markers[key], markevery=100, label=key)
plt.xlabel("iterations")
plt.ylabel("loss")
#plt.ylim(0, 15)
plt.ylim(0, 1)
plt.legend()
plt.show()
가중치의 초깃값
초기값 설정
- 0 : 학습이 올바로 이루어지지 않음
- ramdom(정규분포) : 1인 경우 양쪽으로 치우쳐서 분포함, 0.01인 경우 가운데로만 분포함 표현력이 적다.
- Xavier(sigmoid) : 전체 영역에서 골고루 퍼지게 됨
- He(ReLu) : Xavier 방식보다 2배의 계수가 필요함
가중치 감소
: 매개변수의 값이 작아지도록 학습하여 오버피팅 일어나지 않도록 함
: 초깃값이 0일 경우 오차역전파에서 모든 가중치 값 똑같이 갱신됨 , 무작위 설정 !
초기값 : 0 (zeros)
- 학습이 올바르게 진행되지 않음
- 0으로 설정하면 오차역전파법에서 모든 가중치의 값이 똑같이 갱신됨
# 층 5개
# 각 층당 뉴런 100개
# 입력 데이터 1000개의 데이터를 정규분포로 무작위로 생성
# 각 층의 활성화 결과를 activates 변수에 저장
# 각 코드이 가중치 분포 관찰
import numpy as np
def sigmoid(x):
return 1 / (1 + np.exp(-x))
def relu(x):
return np.maximum(0, x)
x = np.random.randn(1000, 100) # 1000개의 데이터
node_num = 100 # 각 은닉층의 노드(뉴런) 수
hidden_layer_size = 5 # 은닉층이 5개
activates = {} # 이곳에 활성화 결과(활성화값)를 저장
for i in range(hidden_layer_size):
if i != 0:
x = activates[i-1]
w = np.zeros((node_num,node_num)) # 0으로 초기화
#w = np.random.uniform(1,10,(node_num,node_num)) # 균일분포
#w = np.random.randn(node_num, node_num) * 1 # 표준 편차가 1인 정규분포의 경우
#w = np.random.randn(node_num, node_num) * 0.01 # 표준 편차가 0.01인 정규분포의 경우
#w = np.random.randn(node_num, node_num) / np.sqrt(node_num) # Xavier
#w = np.random.randn(node_num, node_num) / np.sqrt(node_num / 2) # He
a = np.dot(x, w)
z = sigmoid(a)
#z = relu(a)
activates[i] = z
# 히스토그램 그리기
import matplotlib.pyplot as plt
for i, a in activates.items():
plt.subplot(1, len(activates), i+1)
plt.title(str(i+1) + "-layer")
plt.hist(a.flatten(), 30, range=(0,1))
plt.show()
초기값 : 균일분포(Uniform)
- 활성화 값이 균일하지 않음(활성화함수 : sigmoid)
- 역전파로 전해지는 기울기값이 사라짐
# 층 5개
# 각 층당 뉴런 100개
# 입력 데이터 1000개의 데이터를 정규분포로 무작위로 생성
# 각 층의 활성화 결과를 activates 변수에 저장
# 각 코드이 가중치 분포 관찰
import numpy as np
def sigmoid(x):
return 1 / (1 + np.exp(-x))
def relu(x):
return np.maximum(0, x)
x = np.random.randn(1000, 100) # 1000개의 데이터
node_num = 100 # 각 은닉층의 노드(뉴런) 수
hidden_layer_size = 5 # 은닉층이 5개
activates = {} # 이곳에 활성화 결과(활성화값)를 저장
for i in range(hidden_layer_size):
if i != 0:
x = activates[i-1]
#w = np.zeros((node_num,node_num)) # 0으로 초기화
w = np.random.uniform(1,10,(node_num,node_num)) # 균일분포
#w = np.random.randn(node_num, node_num) * 1 # 표준 편차가 1인 정규분포의 경우
#w = np.random.randn(node_num, node_num) * 0.01 # 표준 편차가 0.01인 정규분포의 경우
#w = np.random.randn(node_num, node_num) / np.sqrt(node_num) # Xavier
#w = np.random.randn(node_num, node_num) / np.sqrt(node_num / 2) # He
a = np.dot(x, w)
z = sigmoid(a)
#z = relu(a)
activates[i] = z
# 히스토그램 그리기
import matplotlib.pyplot as plt
for i, a in activates.items():
plt.subplot(1, len(activates), i+1)
plt.title(str(i+1) + "-layer")
plt.hist(a.flatten(), 30, range=(0,1))
plt.show()
초기값 : 정규분포(nomalization)
- 활성화함수를 통과하면 양쪽으로 퍼짐
- 0과 1에 퍼지면서 기울기 소실문제(gradient vanishing) 발생
- 가중치를 표준편차가 1인 정규분포로 초기화할 때의 각 층의 활성화값 분포(기울기 소실)
- 0과 1에 치우쳐 있음
- 0 또는 1인 경우 미분값은 0에 다가감 -> 기울기 소실(Gradient vanishing) 현상이 있음

# 층 5개
# 각 층당 뉴런 100개
# 입력 데이터 1000개의 데이터를 정규분포로 무작위로 생성
# 각 층의 활성화 결과를 activates 변수에 저장
# 각 코드이 가중치 분포 관찰
import numpy as np
def sigmoid(x):
return 1 / (1 + np.exp(-x))
def relu(x):
return np.maximum(0, x)
x = np.random.randn(1000, 100) # 1000개의 데이터
node_num = 100 # 각 은닉층의 노드(뉴런) 수
hidden_layer_size = 5 # 은닉층이 5개
activates = {} # 이곳에 활성화 결과(활성화값)를 저장
for i in range(hidden_layer_size):
if i != 0:
x = activates[i-1]
#w = np.zeros((node_num,node_num)) # 0으로 초기화
#w = np.random.uniform(1,10,(node_num,node_num)) # 균일분포
w = np.random.randn(node_num, node_num) * 1 # 표준 편차가 1인 정규분포의 경우
#w = np.random.randn(node_num, node_num) * 0.01 # 표준 편차가 0.01인 정규분포의 경우
#w = np.random.randn(node_num, node_num) / np.sqrt(node_num) # Xavier
#w = np.random.randn(node_num, node_num) / np.sqrt(node_num / 2) # He
a = np.dot(x, w)
z = sigmoid(a)
#z = relu(a)
activates[i] = z
# 히스토그램 그리기
import matplotlib.pyplot as plt
for i, a in activates.items():
plt.subplot(1, len(activates), i+1)
plt.title(str(i+1) + "-layer")
plt.hist(a.flatten(), 30, range=(0,1))
plt.show()
가중치를 표준편차가 0.01인 정규분포로 초기화할 때의 각 층의 활성화값 분포(표현력 제한)
- 0.5 부근에 집중 : 활성화값이 치우쳤다는 것은 표현력 관점에서 문제가 있음
- 다수의 뉴런이 같은 값을 출력하고 있으니 뉴런을 여러개 둔 의미가 없다는 뜻임
- 예) 100개의 뉴런이 거의 같은 값을 출력한다면 뉴런 1개짜리와 별반 다를 게 없다는 듯
- 기울기 소실(Gradient vanishing) 문제는 일어나지 않음

# 층 5개
# 각 층당 뉴런 100개
# 입력 데이터 1000개의 데이터를 정규분포로 무작위로 생성
# 각 층의 활성화 결과를 activates 변수에 저장
# 각 코드이 가중치 분포 관찰
import numpy as np
def sigmoid(x):
return 1 / (1 + np.exp(-x))
def relu(x):
return np.maximum(0, x)
x = np.random.randn(1000, 100) # 1000개의 데이터
node_num = 100 # 각 은닉층의 노드(뉴런) 수
hidden_layer_size = 5 # 은닉층이 5개
activates = {} # 이곳에 활성화 결과(활성화값)를 저장
for i in range(hidden_layer_size):
if i != 0:
x = activates[i-1]
#w = np.zeros((node_num,node_num)) # 0으로 초기화
#w = np.random.uniform(1,10,(node_num,node_num)) # 균일분포
#w = np.random.randn(node_num, node_num) * 1 # 표준 편차가 1인 정규분포의 경우
w = np.random.randn(node_num, node_num) * 0.01 # 표준 편차가 0.01인 정규분포의 경우
#w = np.random.randn(node_num, node_num) / np.sqrt(node_num) # Xavier
#w = np.random.randn(node_num, node_num) / np.sqrt(node_num / 2) # He
a = np.dot(x, w)
z = sigmoid(a)
#z = relu(a)
activates[i] = z
# 히스토그램 그리기
import matplotlib.pyplot as plt
for i, a in activates.items():
plt.subplot(1, len(activates), i+1)
plt.title(str(i+1) + "-layer")
plt.hist(a.flatten(), 30, range=(0,1))
plt.show()
가중치를 표준편차으로 'Xavier 초기값'을 이용할 때의 각 층의 활성화값 분포
- 층이 깊어지면서 형태가 다소 일그러지지만, 비교적 넓게 분포됨

# 층 5개
# 각 층당 뉴런 100개
# 입력 데이터 1000개의 데이터를 정규분포로 무작위로 생성
# 각 층의 활성화 결과를 activates 변수에 저장
# 각 코드이 가중치 분포 관찰
import numpy as np
def sigmoid(x):
return 1 / (1 + np.exp(-x))
def relu(x):
return np.maximum(0, x)
x = np.random.randn(1000, 100) # 1000개의 데이터
node_num = 100 # 각 은닉층의 노드(뉴런) 수
hidden_layer_size = 5 # 은닉층이 5개
activates = {} # 이곳에 활성화 결과(활성화값)를 저장
for i in range(hidden_layer_size):
if i != 0:
x = activates[i-1]
#w = np.zeros((node_num,node_num)) # 0으로 초기화
#w = np.random.uniform(1,10,(node_num,node_num)) # 균일분포
#w = np.random.randn(node_num, node_num) * 1 # 표준 편차가 1인 정규분포의 경우
#w = np.random.randn(node_num, node_num) * 0.01 # 표준 편차가 0.01인 정규분포의 경우
w = np.random.randn(node_num, node_num) / np.sqrt(node_num) # Xavier
#w = np.random.randn(node_num, node_num) / np.sqrt(node_num / 2) # He
a = np.dot(x, w)
z = sigmoid(a)
#z = relu(a)
activates[i] = z
# 히스토그램 그리기
import matplotlib.pyplot as plt
for i, a in activates.items():
plt.subplot(1, len(activates), i+1)
plt.title(str(i+1) + "-layer")
plt.hist(a.flatten(), 30, range=(0,1))
plt.show()
1. Xavier 초깃값
(활성화함수가 선형일때 : sigmoid, tanh)
앞 계층의 노드가 n개 : 초깃값의 표준편차가 1/root(n) 이 되도록 설정
2. He 초깃값 : ReLU 사용시
앞 계층의 노드가 n개 : 초깃값의 표준편차가 root(2/n) 이 되도록 설정

std = 0.01 : 활성화값이 너무 작아서 학습이 거의 이루어지지 않음.
- 신경망에 아주 작은 데이터가 흐른다는 것은 역전파 때 가중치의 기울기 역시 작아진다는 의미임
Xavier : 층이 깊어지면서 활성화값이 치우침 : 기울기 소실
He : 층이 깊어져도 분포가 균일 --> 역전파 때도 적절한 값 나옴
# 층 5개
# 각 층당 뉴런 100개
# 입력 데이터 1000개의 데이터를 정규분포로 무작위로 생성
# 각 층의 활성화 결과를 activates 변수에 저장
# 각 코드이 가중치 분포 관찰
import numpy as np
def sigmoid(x):
return 1 / (1 + np.exp(-x))
def relu(x):
return np.maximum(0, x)
x = np.random.randn(1000, 100) # 1000개의 데이터
node_num = 100 # 각 은닉층의 노드(뉴런) 수
hidden_layer_size = 5 # 은닉층이 5개
activates = {} # 이곳에 활성화 결과(활성화값)를 저장
for i in range(hidden_layer_size):
if i != 0:
x = activates[i-1]
w = np.zeros((node_num,node_num)) # 0으로 초기화
#w = np.random.uniform(1,10,(node_num,node_num)) # 균일분포
#w = np.random.randn(node_num, node_num) * 1 # 표준 편차가 1인 정규분포의 경우
#w = np.random.randn(node_num, node_num) * 0.01 # 표준 편차가 0.01인 정규분포의 경우
#w = np.random.randn(node_num, node_num) / np.sqrt(node_num) # Xavier
#w = np.random.randn(node_num, node_num) / np.sqrt(node_num / 2) # He
a = np.dot(x, w)
#z = sigmoid(a)
z = relu(a)
activates[i] = z
# 히스토그램 그리기
import matplotlib.pyplot as plt
for i, a in activates.items():
plt.subplot(1, len(activates), i+1)
plt.title(str(i+1) + "-layer")
plt.hist(a.flatten(), 30, range=(0,1))
plt.show()
# 층 5개
# 각 층당 뉴런 100개
# 입력 데이터 1000개의 데이터를 정규분포로 무작위로 생성
# 각 층의 활성화 결과를 activates 변수에 저장
# 각 코드이 가중치 분포 관찰
import numpy as np
def sigmoid(x):
return 1 / (1 + np.exp(-x))
def relu(x):
return np.maximum(0, x)
x = np.random.randn(1000, 100) # 1000개의 데이터
node_num = 100 # 각 은닉층의 노드(뉴런) 수
hidden_layer_size = 5 # 은닉층이 5개
activates = {} # 이곳에 활성화 결과(활성화값)를 저장
for i in range(hidden_layer_size):
if i != 0:
x = activates[i-1]
#w = np.zeros((node_num,node_num)) # 0으로 초기화
w = np.random.uniform(1,10,(node_num,node_num)) # 균일분포
#w = np.random.randn(node_num, node_num) * 1 # 표준 편차가 1인 정규분포의 경우
#w = np.random.randn(node_num, node_num) * 0.01 # 표준 편차가 0.01인 정규분포의 경우
#w = np.random.randn(node_num, node_num) / np.sqrt(node_num) # Xavier
#w = np.random.randn(node_num, node_num) / np.sqrt(node_num / 2) # He
a = np.dot(x, w)
#z = sigmoid(a)
z = relu(a)
activates[i] = z
# 히스토그램 그리기
import matplotlib.pyplot as plt
for i, a in activates.items():
plt.subplot(1, len(activates), i+1)
plt.title(str(i+1) + "-layer")
plt.hist(a.flatten(), 30, range=(0,1))
plt.show()
# 층 5개
# 각 층당 뉴런 100개
# 입력 데이터 1000개의 데이터를 정규분포로 무작위로 생성
# 각 층의 활성화 결과를 activates 변수에 저장
# 각 코드이 가중치 분포 관찰
import numpy as np
def sigmoid(x):
return 1 / (1 + np.exp(-x))
def relu(x):
return np.maximum(0, x)
x = np.random.randn(1000, 100) # 1000개의 데이터
node_num = 100 # 각 은닉층의 노드(뉴런) 수
hidden_layer_size = 5 # 은닉층이 5개
activates = {} # 이곳에 활성화 결과(활성화값)를 저장
for i in range(hidden_layer_size):
if i != 0:
x = activates[i-1]
#w = np.zeros((node_num,node_num)) # 0으로 초기화
#w = np.random.uniform(1,10,(node_num,node_num)) # 균일분포
w = np.random.randn(node_num, node_num) * 1 # 표준 편차가 1인 정규분포의 경우
#w = np.random.randn(node_num, node_num) * 0.01 # 표준 편차가 0.01인 정규분포의 경우
#w = np.random.randn(node_num, node_num) / np.sqrt(node_num) # Xavier
#w = np.random.randn(node_num, node_num) / np.sqrt(node_num / 2) # He
a = np.dot(x, w)
#z = sigmoid(a)
z = relu(a)
activates[i] = z
# 히스토그램 그리기
import matplotlib.pyplot as plt
for i, a in activates.items():
plt.subplot(1, len(activates), i+1)
plt.title(str(i+1) + "-layer")
plt.hist(a.flatten(), 30, range=(0,1))
plt.show()

# 층 5개
# 각 층당 뉴런 100개
# 입력 데이터 1000개의 데이터를 정규분포로 무작위로 생성
# 각 층의 활성화 결과를 activates 변수에 저장
# 각 코드이 가중치 분포 관찰
import numpy as np
def sigmoid(x):
return 1 / (1 + np.exp(-x))
def relu(x):
return np.maximum(0, x)
x = np.random.randn(1000, 100) # 1000개의 데이터
node_num = 100 # 각 은닉층의 노드(뉴런) 수
hidden_layer_size = 5 # 은닉층이 5개
activates = {} # 이곳에 활성화 결과(활성화값)를 저장
for i in range(hidden_layer_size):
if i != 0:
x = activates[i-1]
#w = np.zeros((node_num,node_num)) # 0으로 초기화
#w = np.random.uniform(1,10,(node_num,node_num)) # 균일분포
#w = np.random.randn(node_num, node_num) * 1 # 표준 편차가 1인 정규분포의 경우
w = np.random.randn(node_num, node_num) * 0.01 # 표준 편차가 0.01인 정규분포의 경우
#w = np.random.randn(node_num, node_num) / np.sqrt(node_num) # Xavier
#w = np.random.randn(node_num, node_num) / np.sqrt(node_num / 2) # He
a = np.dot(x, w)
#z = sigmoid(a)
z = relu(a)
activates[i] = z
# 히스토그램 그리기
import matplotlib.pyplot as plt
for i, a in activates.items():
plt.subplot(1, len(activates), i+1)
plt.title(str(i+1) + "-layer")
plt.hist(a.flatten(), 30, range=(0,1))
plt.show()

# 층 5개
# 각 층당 뉴런 100개
# 입력 데이터 1000개의 데이터를 정규분포로 무작위로 생성
# 각 층의 활성화 결과를 activates 변수에 저장
# 각 코드이 가중치 분포 관찰
import numpy as np
def sigmoid(x):
return 1 / (1 + np.exp(-x))
def relu(x):
return np.maximum(0, x)
x = np.random.randn(1000, 100) # 1000개의 데이터
node_num = 100 # 각 은닉층의 노드(뉴런) 수
hidden_layer_size = 5 # 은닉층이 5개
activates = {} # 이곳에 활성화 결과(활성화값)를 저장
for i in range(hidden_layer_size):
if i != 0:
x = activates[i-1]
#w = np.zeros((node_num,node_num)) # 0으로 초기화
#w = np.random.uniform(1,10,(node_num,node_num)) # 균일분포
#w = np.random.randn(node_num, node_num) * 1 # 표준 편차가 1인 정규분포의 경우
#w = np.random.randn(node_num, node_num) * 0.01 # 표준 편차가 0.01인 정규분포의 경우
w = np.random.randn(node_num, node_num) / np.sqrt(node_num) # Xavier
#w = np.random.randn(node_num, node_num) / np.sqrt(node_num / 2) # He
a = np.dot(x, w)
#z = sigmoid(a)
z = relu(a)
activates[i] = z
# 히스토그램 그리기
import matplotlib.pyplot as plt
for i, a in activates.items():
plt.subplot(1, len(activates), i+1)
plt.title(str(i+1) + "-layer")
plt.hist(a.flatten(), 30, range=(0,1))
plt.show()

# 층 5개
# 각 층당 뉴런 100개
# 입력 데이터 1000개의 데이터를 정규분포로 무작위로 생성
# 각 층의 활성화 결과를 activates 변수에 저장
# 각 코드이 가중치 분포 관찰
import numpy as np
def sigmoid(x):
return 1 / (1 + np.exp(-x))
def relu(x):
return np.maximum(0, x)
x = np.random.randn(1000, 100) # 1000개의 데이터
node_num = 100 # 각 은닉층의 노드(뉴런) 수
hidden_layer_size = 5 # 은닉층이 5개
activates = {} # 이곳에 활성화 결과(활성화값)를 저장
for i in range(hidden_layer_size):
if i != 0:
x = activates[i-1]
#w = np.zeros((node_num,node_num)) # 0으로 초기화
#w = np.random.uniform(1,10,(node_num,node_num)) # 균일분포
#w = np.random.randn(node_num, node_num) * 1 # 표준 편차가 1인 정규분포의 경우
#w = np.random.randn(node_num, node_num) * 0.01 # 표준 편차가 0.01인 정규분포의 경우
#w = np.random.randn(node_num, node_num) / np.sqrt(node_num) # Xavier
w = np.random.randn(node_num, node_num) / np.sqrt(node_num / 2) # He
a = np.dot(x, w)
#z = sigmoid(a)
z = relu(a)
activates[i] = z
# 히스토그램 그리기
import matplotlib.pyplot as plt
for i, a in activates.items():
plt.subplot(1, len(activates), i+1)
plt.title(str(i+1) + "-layer")
plt.hist(a.flatten(), 30, range=(0,1))
plt.show()
MNIST 데이터셋으로 본 가중치 초기값
실제 데이터로 가중치의 초기값을 주는 방법이 신경망 학습에 얼마나 영향을 주는지 그래프
import numpy as np
import matplotlib.pyplot as plt
from collections import OrderedDict
import tensorflow as tf
layers
def sigmoid(x):
return 1 / (1 + np.exp(-x))
def softmax(x):
if x.ndim == 2:
x = x.T
x = x - np.max(x, axis=0)
y = np.exp(x) / np.sum(np.exp(x), axis=0)
return y.T
x = x - np.max(x) # 오버플로 대책
return np.exp(x) / np.sum(np.exp(x))
def cross_entropy_error(y, t):
if y.ndim == 1:
t = t.reshape(1, t.size)
y = y.reshape(1, y.size)
# 훈련 데이터가 원-핫 벡터라면 정답 레이블의 인덱스로 반환
if t.size == y.size:
t = t.argmax(axis=1)
batch_size = y.shape[0]
return -np.sum(np.log(y[np.arange(batch_size), t] + 1e-7)) / batch_size
class Relu:
def __init__(self):
self.mask = None
def forward(self, x):
self.mask = (x <= 0)
out = x.copy()
out[self.mask] = 0
return out
def backward(self, dout):
dout[self.mask] = 0
dx = dout
return dx
class Sigmoid:
def __init__(self):
self.out = None
def forward(self, x):
out = sigmoid(x)
self.out = out
return out
def backward(self, dout):
dx = dout * (1.0 - self.out) * self.out
return dx
class Affine:
def __init__(self, W, b):
self.W = W
self.b = b
self.x = None
self.original_x_shape = None
# 가중치와 편향 매개변수의 미분
self.dW = None
self.db = None
def forward(self, x):
# 텐서 대응
self.original_x_shape = x.shape
x = x.reshape(x.shape[0], -1)
self.x = x
out = np.dot(self.x, self.W) + self.b
return out
def backward(self, dout):
dx = np.dot(dout, self.W.T)
self.dW = np.dot(self.x.T, dout)
self.db = np.sum(dout, axis=0)
dx = dx.reshape(*self.original_x_shape) # 입력 데이터 모양 변경(텐서 대응)
return dx
class SoftmaxWithLoss:
def __init__(self):
self.loss = None # 손실함수
self.y = None # softmax의 출력
self.t = None # 정답 레이블(원-핫 인코딩 형태)
def forward(self, x, t):
self.t = t
self.y = softmax(x)
self.loss = cross_entropy_error(self.y, self.t)
return self.loss
def backward(self, dout=1):
batch_size = self.t.shape[0]
if self.t.size == self.y.size: # 정답 레이블이 원-핫 인코딩 형태일 때
dx = (self.y - self.t) / batch_size
else:
dx = self.y.copy()
dx[np.arange(batch_size), self.t] -= 1
dx = dx / batch_size
return dx
class Dropout:
"""
http://arxiv.org/abs/1207.0580
"""
def __init__(self, dropout_ratio=0.5):
self.dropout_ratio = dropout_ratio
self.mask = None
def forward(self, x, train_flg=True):
if train_flg:
self.mask = np.random.rand(*x.shape) > self.dropout_ratio
return x * self.mask
else:
return x * (1.0 - self.dropout_ratio)
def backward(self, dout):
return dout * self.mask
class BatchNormalization:
"""
http://arxiv.org/abs/1502.03167
"""
def __init__(self, gamma, beta, momentum=0.9, running_mean=None, running_var=None):
self.gamma = gamma
self.beta = beta
self.momentum = momentum
self.input_shape = None # 합성곱 계층은 4차원, 완전연결 계층은 2차원
# 시험할 때 사용할 평균과 분산
self.running_mean = running_mean
self.running_var = running_var
# backward 시에 사용할 중간 데이터
self.batch_size = None
self.xc = None
self.std = None
self.dgamma = None
self.dbeta = None
def forward(self, x, train_flg=True):
self.input_shape = x.shape
if x.ndim != 2:
N, C, H, W = x.shape
x = x.reshape(N, -1)
out = self.__forward(x, train_flg)
return out.reshape(*self.input_shape)
def __forward(self, x, train_flg):
if self.running_mean is None:
N, D = x.shape
self.running_mean = np.zeros(D)
self.running_var = np.zeros(D)
if train_flg:
mu = x.mean(axis=0)
xc = x - mu
var = np.mean(xc**2, axis=0)
std = np.sqrt(var + 10e-7)
xn = xc / std
self.batch_size = x.shape[0]
self.xc = xc
self.xn = xn
self.std = std
self.running_mean = self.momentum * self.running_mean + (1-self.momentum) * mu
self.running_var = self.momentum * self.running_var + (1-self.momentum) * var
else:
xc = x - self.running_mean
xn = xc / ((np.sqrt(self.running_var + 10e-7)))
out = self.gamma * xn + self.beta
return out
def backward(self, dout):
if dout.ndim != 2:
N, C, H, W = dout.shape
dout = dout.reshape(N, -1)
dx = self.__backward(dout)
dx = dx.reshape(*self.input_shape)
return dx
def __backward(self, dout):
dbeta = dout.sum(axis=0)
dgamma = np.sum(self.xn * dout, axis=0)
dxn = self.gamma * dout
dxc = dxn / self.std
dstd = -np.sum((dxn * self.xc) / (self.std * self.std), axis=0)
dvar = 0.5 * dstd / self.std
dxc += (2.0 / self.batch_size) * self.xc * dvar
dmu = np.sum(dxc, axis=0)
dx = dxc - dmu / self.batch_size
self.dgamma = dgamma
self.dbeta = dbeta
return dx
Multi_layer_net
class MultiLayerNet:
"""완전연결 다층 신경망
Parameters
----------
input_size : 입력 크기(MNIST의 경우엔 784)
hidden_size_list : 각 은닉층의 뉴런 수를 담은 리스트(e.g. [100, 100, 100])
output_size : 출력 크기(MNIST의 경우엔 10)
activation : 활성화 함수 - 'relu' 혹은 'sigmoid'
weight_init_std : 가중치의 표준편차 지정(e.g. 0.01)
'relu'나 'he'로 지정하면 'He 초깃값'으로 설정
'sigmoid'나 'xavier'로 지정하면 'Xavier 초깃값'으로 설정
weight_decay_lambda : 가중치 감소(L2 법칙)의 세기
"""
def __init__(self, input_size, hidden_size_list, output_size,
activation='relu', weight_init_std='relu', weight_decay_lambda=0):
self.input_size = input_size
self.output_size = output_size
self.hidden_size_list = hidden_size_list
self.hidden_layer_num = len(hidden_size_list)
self.weight_decay_lambda = weight_decay_lambda
self.params = {}
# 가중치 초기화
self.__init_weight(weight_init_std)
# 계층 생성
activation_layer = {'sigmoid': Sigmoid, 'relu': Relu}
self.layers = OrderedDict()
for idx in range(1, self.hidden_layer_num+1):
self.layers['Affine' + str(idx)] = Affine(self.params['W' + str(idx)],
self.params['b' + str(idx)])
self.layers['Activation_function' + str(idx)] = activation_layer[activation]()
idx = self.hidden_layer_num + 1
self.layers['Affine' + str(idx)] = Affine(self.params['W' + str(idx)],
self.params['b' + str(idx)])
self.last_layer = SoftmaxWithLoss()
def __init_weight(self, weight_init_std):
"""가중치 초기화
Parameters
----------
weight_init_std : 가중치의 표준편차 지정(e.g. 0.01)
'relu'나 'he'로 지정하면 'He 초깃값'으로 설정
'sigmoid'나 'xavier'로 지정하면 'Xavier 초깃값'으로 설정
"""
all_size_list = [self.input_size] + self.hidden_size_list + [self.output_size]
for idx in range(1, len(all_size_list)):
scale = weight_init_std
if str(weight_init_std).lower() in ('relu', 'he'):
scale = np.sqrt(2.0 / all_size_list[idx - 1]) # ReLU를 사용할 때의 권장 초깃값
elif str(weight_init_std).lower() in ('sigmoid', 'xavier'):
scale = np.sqrt(1.0 / all_size_list[idx - 1]) # sigmoid를 사용할 때의 권장 초깃값
self.params['W' + str(idx)] = scale * np.random.randn(all_size_list[idx-1], all_size_list[idx])
self.params['b' + str(idx)] = np.zeros(all_size_list[idx])
def predict(self, x):
for layer in self.layers.values():
x = layer.forward(x)
return x
# ========= 가중치 감소 =============
def loss(self, x, t):
"""손실 함수를 구한다.
Parameters
----------
x : 입력 데이터
t : 정답 레이블
Returns
-------
손실 함수의 값
"""
y = self.predict(x)
weight_decay = 0
for idx in range(1, self.hidden_layer_num + 2):
W = self.params['W' + str(idx)]
weight_decay += 0.5 * self.weight_decay_lambda * np.sum(W ** 2)
return self.last_layer.forward(y, t) + weight_decay
def accuracy(self, x, t):
y = self.predict(x)
y = np.argmax(y, axis=1)
if t.ndim != 1 : t = np.argmax(t, axis=1)
accuracy = np.sum(y == t) / float(x.shape[0])
return accuracy
def numerical_gradient(self, x, t):
"""기울기를 구한다(수치 미분).
Parameters
----------
x : 입력 데이터
t : 정답 레이블
Returns
-------
각 층의 기울기를 담은 딕셔너리(dictionary) 변수
grads['W1']、grads['W2']、... 각 층의 가중치
grads['b1']、grads['b2']、... 각 층의 편향
"""
loss_W = lambda W: self.loss(x, t)
grads = {}
for idx in range(1, self.hidden_layer_num+2):
grads['W' + str(idx)] = numerical_gradient(loss_W, self.params['W' + str(idx)])
grads['b' + str(idx)] = numerical_gradient(loss_W, self.params['b' + str(idx)])
return grads
def gradient(self, x, t):
"""기울기를 구한다(오차역전파법).
Parameters
----------
x : 입력 데이터
t : 정답 레이블
Returns
-------
각 층의 기울기를 담은 딕셔너리(dictionary) 변수
grads['W1']、grads['W2']、... 각 층의 가중치
grads['b1']、grads['b2']、... 각 층의 편향
"""
# forward
self.loss(x, t)
# backward
dout = 1
dout = self.last_layer.backward(dout)
layers = list(self.layers.values())
layers.reverse()
for layer in layers:
dout = layer.backward(dout)
# 결과 저장
grads = {}
for idx in range(1, self.hidden_layer_num+2):
grads['W' + str(idx)] = self.layers['Affine' + str(idx)].dW + self.weight_decay_lambda * self.layers['Affine' + str(idx)].W
grads['b' + str(idx)] = self.layers['Affine' + str(idx)].db
return grads
def smooth_curve(x):
"""손실 함수의 그래프를 매끄럽게 하기 위해 사용
참고:http://glowingpython.blogspot.jp/2012/02/convolution-with-numpy.html
"""
window_len = 11
s = np.r_[x[window_len-1:0:-1], x, x[-1:-window_len:-1]]
w = np.kaiser(window_len, 2)
y = np.convolve(w/w.sum(), s, mode='valid')
return y[5:len(y)-5]
class SGD:
"""확률적 경사 하강법(Stochastic Gradient Descent)"""
def __init__(self, lr=0.001):
self.lr = lr
#params = 가중치 / grads = 기울기
def update(self, params, grads):
for key in params.keys():
params[key] -= self.lr * grads[key]
(x_train,t_train),(x_test,t_test) = tf.keras.datasets.mnist.load_data()
x_train = x_train.reshape(60000,-1) #flatten (60000,28,28) - > (60000,784)
x_train = x_train.astype('float32') / 255. #normalize 데이터를 0과 1사이로
x_test = x_test.reshape(10000,-1)
x_test = x_test.astype('float32') / 255. #normalize 데이터를 0과 1사이로
train_size = x_train.shape[0]
batch_size = 128
max_iterations = 2000
# 1. 실험용 설정==========
weight_init_types = {'std=0.01': 0.01, 'Xavier': 'sigmoid', 'He': 'relu'}
optimizer = SGD(lr=0.01)
networks = {}
train_loss = {}
for key, weight_type in weight_init_types.items():
networks[key] = MultiLayerNet(input_size=784, hidden_size_list=[100, 100, 100, 100],
output_size=10, weight_init_std=weight_type)
train_loss[key] = []
# 2. 훈련 시작==========
for i in range(max_iterations):
batch_mask = np.random.choice(train_size, batch_size)
x_batch = x_train[batch_mask]
t_batch = t_train[batch_mask]
for key in weight_init_types.keys():
grads = networks[key].gradient(x_batch, t_batch)
optimizer.update(networks[key].params, grads)
loss = networks[key].loss(x_batch, t_batch)
train_loss[key].append(loss)
if i % 100 == 0:
print("===========" + "iteration:" + str(i) + "===========")
for key in weight_init_types.keys():
loss = networks[key].loss(x_batch, t_batch)
print(key + ":" + str(loss))
# 3. 그래프 그리기==========
markers = {'std=0.01': 'o', 'Xavier': 's', 'He': 'D'}
x = np.arange(max_iterations)
for key in weight_init_types.keys():
plt.plot(x, smooth_curve(train_loss[key]), marker=markers[key], markevery=100, label=key)
plt.xlabel("iterations")
plt.ylabel("loss")
plt.ylim(0, 2.5)
plt.legend()
plt.show()
층별 뉴런 수가 100개인 5층 신경망에서 활성화 함수로 ReLu를 사용.
표준편차가 0.01일 때 학습이 전혀 이뤄지지 않음
Xaview, He 초기값은 학습이 순조로움. He 초기값이 학습진도가 빠름.
오버피팅 억제
: train 데이터에만 fitiing 되어 새로운 test데이터가 들어왔을 때 제대로 판단하지 못함
- 매개변수가 많고 표현력이 높은 모델
- 훈련 데이터가 적음
- 가중치 매개변수 값이 큼
가중치 감소
: 학습과정에서 큰 가중치에 대해서는 그에 상응하는 큰 패널티를 부과하여 오버피팅 억제
- 모든 가중치 각각의 손실함수에 1/2 λ (W**2) 를 더함
- 람다 : 정규화 세기 조정
- 1/2 : 미분결과 조정 상수
overfit weight decay MNIST TEST
(x_train,t_train),(x_test,t_test) = tf.keras.datasets.mnist.load_data()
#x_train = x_train.reshape(60000,-1) #flatten (60000,28,28) - > (60000,784)
#x_test = x_test.reshape(10000,-1)
x_train = x_train.reshape(60000,-1)
x_train = x_train.astype('float32') / 255. #normalize 데이터를 0과 1사이로
x_test = x_test.reshape(10000,-1)
x_test = x_test.astype('float32') / 255. #normalize 데이터를 0과 1사이로
# 오버피팅을 재현하기 위해 학습 데이터 수를 줄임
x_train = x_train[:300]
t_train = t_train[:300]
# weight decay(가중치 감쇠) 설정 =======================
#weight_decay_lambda = 0 # weight decay를 사용하지 않을 경우
weight_decay_lambda = 0.2
# ====================================================
network = MultiLayerNet(input_size=784, hidden_size_list=[100, 100, 100, 100, 100, 100], output_size=10,
weight_decay_lambda=weight_decay_lambda)
optimizer = Adam(lr=0.0001) # 학습률이 0.0001인 SGD로 매개변수 갱신
max_epochs = 201
train_size = x_train.shape[0]
batch_size = 100
train_loss_list = []
train_acc_list = []
test_acc_list = []
iter_per_epoch = max(train_size / batch_size, 1)
epoch_cnt = 0
for i in range(1000000000):
batch_mask = np.random.choice(train_size, batch_size)
x_batch = x_train[batch_mask]
t_batch = t_train[batch_mask]
grads = network.gradient(x_batch, t_batch)
optimizer.update(network.params, grads)
if i % iter_per_epoch == 0:
train_acc = network.accuracy(x_train, t_train)
test_acc = network.accuracy(x_test, t_test)
train_acc_list.append(train_acc)
test_acc_list.append(test_acc)
print("epoch:" + str(epoch_cnt) + ", train acc:" + str(train_acc) + ", test acc:" + str(test_acc))
epoch_cnt += 1
if epoch_cnt >= max_epochs:
break
# 그래프 그리기==========
markers = {'train': 'o', 'test': 's'}
x = np.arange(max_epochs)
plt.plot(x, train_acc_list, marker='o', label='train', markevery=10)
plt.plot(x, test_acc_list, marker='s', label='test', markevery=10)
plt.xlabel("epochs")
plt.ylabel("accuracy")
plt.ylim(0, 1.0)
plt.legend(loc='lower right')
plt.show()
드롭아웃
: 복잡한 신경망 모델에서 은닉층의 뉴런을 무작위로 골라 삭제함

dropout MNIST TEST
(x_train,t_train),(x_test,t_test) = tf.keras.datasets.mnist.load_data()
#x_train = x_train.reshape(60000,-1) #flatten (60000,28,28) - > (60000,784)
#x_test = x_test.reshape(10000,-1)
x_train = x_train.reshape(60000,-1)
x_train = x_train.astype('float32') / 255. #normalize 데이터를 0과 1사이로
x_test = x_test.reshape(10000,-1)
x_test = x_test.astype('float32') / 255. #normalize 데이터를 0과 1사이로
# 오버피팅을 재현하기 위해 학습 데이터 수를 줄임
x_train = x_train[:300]
t_train = t_train[:300]
# 드롭아웃 사용 유무와 비울 설정 ========================
use_dropout = True # 드롭아웃을 쓰지 않을 때는 False
dropout_ratio = 0.2
# ====================================================
network = MultiLayerNetExtend(input_size=784, hidden_size_list=[100, 100, 100, 100, 100, 100],
output_size=10, use_dropout=use_dropout, dropout_ration=dropout_ratio)
trainer = Trainer(network, x_train, t_train, x_test, t_test,
epochs=301, mini_batch_size=100,
optimizer = 'sgd', optimizer_param={'lr': 0.01}, verbose=True)
trainer.train()
train_acc_list, test_acc_list = trainer.train_acc_list, trainer.test_acc_list
# 그래프 그리기==========
markers = {'train': 'o', 'test': 's'}
x = np.arange(len(train_acc_list))
plt.plot(x, train_acc_list, marker='o', label='train', markevery=10)
plt.plot(x, test_acc_list, marker='s', label='test', markevery=10)
plt.xlabel("epochs")
plt.ylabel("accuracy")
plt.ylim(0, 1.0)
plt.legend(loc='lower right')
plt.show()
적절한 하이퍼 파라미터 값 찾기
검증데이터
: 하이퍼파라미터의 성능 평가용 / 훈련 데이터의 20%정도를 검증데이터로 먼저 분리함
def shuffle_dataset(x, t):
"""데이터셋을 뒤섞는다.
Parameters
----------
x : 훈련 데이터
t : 정답 레이블
Returns
-------
x, t : 뒤섞은 훈련 데이터와 정답 레이블
"""
permutation = np.random.permutation(x.shape[0])
x = x[permutation,:] if x.ndim == 2 else x[permutation,:,:,:]
t = t[permutation]
return x, t
'''실행 하지 말것 x'''
'''실행 하지 말것 x'''
'''실행 하지 말것 x'''
'''실행 하지 말것 x'''
'''실행 하지 말것 x'''
#(x_train, t_train), (x_test, t_test) = load _mnist()
(x_train,t_train),(x_test,t_test) = tf.keras.datasets.mnist.load_data()
x_train = x_train.reshape(10000,-1)
x_train = x_train.astype('float32') / 255. #normalize 데이터를 0과 1사이로
# 훈련 데이터를 뒤섞는다.
x_train, t_train = shuffle_dataset(x_train, t_train)
# 20%를 검증 데이터로 분할
validation_rate = 0.20
validation_num = int( x_train.shape[0] * validation_rate)
x_val = x_train[:validation_num]
t_val = t_train[:validation_num]
x_train = x_train[validation_num:]
t_train = t_train[validation_num:]
하이퍼 파라미터 최적화
: 대략적인 범위를 설정하고 그 범위에서 무작위로 하이퍼파라미터 값을 골라낸 후 그 값으로 정확도를 평가
- 0단계 : 하이퍼파라미터 값의 범위를 설정한다.
- 1단계 : 설정된 범위에서 하이퍼파라미터의 값을 무작위로 추출한다.
- 2단계 : 1단계에서 샘플링한 하이퍼파라미터 값을 사용하여 학습하고, 검증 데이터로 정확도를 평가한다.(단, 에폭은 작게 설정한다.)
- 3단계 : 1단계와 2단계를 특정 횟수(100회 등) 반복하며, 그 정확도의 결과를 보고 하이퍼파라미터의 범위를 좁힌다.
: 위 방법은 실용적인 방법(수행자의 직관과 지혜에 의존)
: 세련된 방법은 베이즈 최적화(Bayesian optimization)
- "practical bayesian optimization of machine learning algorithms" 논문 참고
하이퍼 파라미터 최적화 구현하기
(x_train,t_train),(x_test,t_test) = tf.keras.datasets.mnist.load_data()
#x_train = x_train.reshape(60000,-1) #flatten (60000,28,28) - > (60000,784)
#x_test = x_test.reshape(10000,-1)
x_test = x_test.reshape(10000,-1)
x_test = x_test.astype('float32') / 255. #normalize 데이터를 0과 1사이로
x_test = x_test.reshape(10000, 28, 28)
# 결과를 빠르게 얻기 위해 훈련 데이터를 줄임
x_train = x_train[:500]
t_train = t_train[:500]
print(x_train.shape, t_train.shape)
x_train = x_train.reshape(500, -1)
# 20%를 검증 데이터로 분할
validation_rate = 0.20
validation_num = int(x_train.shape[0] * validation_rate)
x_train, t_train = shuffle_dataset(x_train, t_train)
x_train = x_train.reshape(500, 28, 28)
x_val = x_train[:validation_num]
t_val = t_train[:validation_num]
x_train = x_train[validation_num:]
t_train = t_train[validation_num:]
def __train(lr, weight_decay, epocs=50):
network = MultiLayerNet(input_size=784, hidden_size_list=[100, 100, 100, 100, 100, 100],
output_size=10, weight_decay_lambda=weight_decay)
trainer = Trainer(network, x_train, t_train, x_val, t_val,
epochs=epocs, mini_batch_size=100,
optimizer='sgd', optimizer_param={'lr': lr}, verbose=False)
trainer.train()
return trainer.test_acc_list, trainer.train_acc_list
# 하이퍼파라미터 무작위 탐색======================================
optimization_trial = 100
results_val = {}
results_train = {}
for _ in range(optimization_trial):
# 탐색한 하이퍼파라미터의 범위 지정===============
weight_decay = 10 ** np.random.uniform(-8, -4)
lr = 10 ** np.random.uniform(-6, -2)
# ================================================
val_acc_list, train_acc_list = __train(lr, weight_decay)
print("val acc:" + str(val_acc_list[-1]) + " | lr:" + str(lr) + ", weight decay:" + str(weight_decay))
key = "lr:" + str(lr) + ", weight decay:" + str(weight_decay)
results_val[key] = val_acc_list
results_train[key] = train_acc_list
# 그래프 그리기========================================================
print("=========== Hyper-Parameter Optimization Result ===========")
graph_draw_num = 20
col_num = 5
row_num = int(np.ceil(graph_draw_num / col_num))
i = 0
for key, val_acc_list in sorted(results_val.items(), key=lambda x:x[1][-1], reverse=True):
print("Best-" + str(i+1) + "(val acc:" + str(val_acc_list[-1]) + ") | " + key)
plt.subplot(row_num, col_num, i+1)
plt.title("Best-" + str(i+1))
plt.ylim(0.0, 1.0)
if i % 5: plt.yticks([])
plt.xticks([])
x = np.arange(len(val_acc_list))
plt.plot(x, val_acc_list)
plt.plot(x, results_train[key], "--")
i += 1
if i >= graph_draw_num:
break
plt.show()
'(두산로보틱스) ROKEY 부트 캠프 > Computer Vision 교육' 카테고리의 다른 글
| ep.44 딥러닝 (0) | 2024.09.06 |
|---|---|
| ep.43 합성곱 신경망(CNN) (0) | 2024.09.05 |
| ep.41 신경망학습, 오차역전파법 (0) | 2024.09.03 |
| ep.40 퍼셉트론, 신경망 (0) | 2024.09.02 |
| ep.39 OpenCV5 (0) | 2024.08.30 |